Inicialmente es bueno considerar que este tipo de curvas requiere del uso de una calculadora programable con el fin de agilizar tanto sus cálculos como su localización en el terreno. Primero que todo, debido a la gran cantidad de elementos que conforman una curva con espirales de transición incluyendo sus deflexiones, se requiere de un buen lapso de tiempo si se realiza con una calculadora convencional. Pero además se debe tener la seguridad de los valores obtenidos en el momento de localizar la curva, ya que si esta no cierra en el terreno, se puede tener la certeza de que el error ha sido durante la localización, porque de lo contrario la pérdida de tiempo sería considerable ya que si además de localizarla de nuevo se debe volver a calcular.
Ejemplo 6.1: Cálculo de curva espiral – circular – espiral.
Datos:
Curva No 1 Derecha
∆ = 57º11’36”
R = 80.00
C = 10.00 Abscisa
PI = K0+231.54
Velocidad de diseño = 50.0 Km/h
Ancho de calzada = 7.30 m
Obtener:
Le adecuada
Todos los demás elementos
Deflexiones de toda la curva
Cálculos:
• Longitud espiral (Le)
De acuerdo a la transición del peralte la longitud mínima esta dada por
Del Manual del I.N.V. se tiene que para un radio de 80.0 m:
e = 8.0%
I = 0.77%
a = 3.65 m x

Según la variación de la aceleración centrifuga, empleando la fórmula de Barnett se tiene que:


Se puede observar, comparando los resultados, los valores tan diferentes: 37.9, 55.8, 8.9 y 27.9. Esto indica que para definir la longitud mínima de la espiral juega un papel importante otros aspectos como podrían ser la disponibilidad de espacio, el tipo de vía y principalmente la experiencia del diseñador. Como conclusión, considero que el criterio más importante es el de la transición del peralte ya que implícitamente considera la comodidad y seguridad y el valor obtenido está por encima del calculado según el aspecto estético y de la longitud mínima absoluta.
La longitud espiral se redondea normalmente a un valor múltiplo de 5 y mayor del valor calculado por lo tanto para el ejemplo se considera una longitud espiral de 40 metros. • Demás elementos Parámetro de la clotoide:

Deflexión de la espiral:

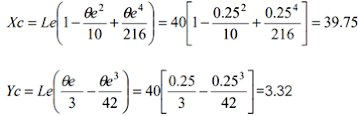
Coordenadas Xc y Yc:

Coordenadas del
PC: P = Yc − Rc(1− Cos ) = 3..32 − 80(1− Cos14°19'26") = 0.83
K = Xc − RcSenθ e = 39.75 − 80Sen(14°19'26") = 19.96
Nótese que el valor de K es aproximadamente igual a la mitad de Le.
Tangente de la curva:
Te = K + (Rc + P).Tan(∆ / 2) = 19.96 + (80 + 0.83)Tan(57°11'36"/ 2) = 64.02
Externa de la curva:

Ubicación del PIe:

Por lo general el valor de la tangente corta, Tc, es levemente superior a la mitad de la tangente larga, Tl.
Cuerda larga espiral:

Deflexión de la cuerda larga de la espiral:

O también,

Elementos de la curva circular:
∆c = ∆ − 2θe = 57°11'36"−2x14°19'26"= 28°32'44"

Cc = 2RcSen∆c / 2 = 2x80xSen(28°32'44"/ 2) = 39.45
• Abscisado de la curva
TE = PI – Te = 231.54 - 64.02 = K0+167.52
EC = TE + Le = 167.52 + 40 = K0+207.52
EC = CE + Lc = 207.52 + 39.83 = K0+247.35
ET = CE + Le = 247.35 + 40 = K0+287.35
• Deflexiones El cálculo de las deflexiones se realizará por dos métodos diferentes uno más rápido que otro, pero como se podrá observar, igual de preciso. Recordemos que las deflexiones para las estaciones de la curva espiral se pueden calcular con:

A continuación se presenta el cuadro de deflexiones para toda la curva incluyendo la curva circular:
Se debe tener en cuenta que las deflexiones de la curva circular, es decir entre el EC y el CE se calculan de igual forma que en la curva circular simple. Se puede apreciar en la tabla que la deflexión calculada con los valores de X y Y difiere en algunos segundos de la calculada en la cuarta columna. Esta diferencia es insignificante en el campo en el momento de ubicar las estaciones por lo que la fórmula

se puede considerar como la más apropiada para el cálculo de las deflexiones de la espiral. De todas formas si se dispone de una calculadora programable es indiferente usar alguna de las dos.
https://www.youtube.com/watch?v=vcLywtElQnA

No hay comentarios.:
Publicar un comentario